New SANC Modules available for download!

ZFITTER
- Website of the ZFITTER project

The official ZFITTER webpage from 5 April 2014 until the end of 2015:
[1] http://zfitter.education was legally a private one. In scientific communications, institutional webpage are preferred.

The ZFITTER webpage before zfitter.education exists yet and contains some documentations,
[2] http://zfitter.com. This private webpage was the homepage of ZFITTER from 20 June 2013 till March 2014.

ZFITTER contact:
Any of the main ZFITTER authors A. Akhundov, A. Arbuzov, D. Bardin (spokesperson from 1985 till 2005), P. Christova, L. Kalinovskaya, A. Olshevsky, S. Riemann, T. Riemann (spokesperson since 2005).
Preferrably, please contact the spokesperson,
[3] spokesperson@zfitter.education



ZFITTER main authors, July 2012:

Some ZFITTER authors (JINR, 2012) Dr. A. Olshevsky, JINR, Dubna A. Akhundov


Left photograph, from left to right: Lida Kalinovskaya, Pena Christova, Dima Bardin, Tord Riemann, Sabine Riemann, Andrej Arbuzov (Photograph made on occasion of 5th Helmholtz International Summer School "Calculations for Modern and Future Colliders", July 23 - August 2, 2012, Dubna, Russia, CALC 2012.)
Middle and right photographs: Sasha Olshevsky and Arif Akhundov. © tordriemann@googlemail.com 2012, © JINR, Dubna, 2012, © A. Akhundov (priv.)



The ZFITTER project

For the Fortran package ZFITTER applies the "CPC non-profit use licence agreement of the Computer Physics Communications Program Library", available at
[4] http://cpc.cs.qub.ac.uk/licence/licence.html.

The ZFITTER project exists since about 1985. Its development was driven mainly at JINR, Dubna, Russia, in cooperation with other institutions in Azerbaidshan, Bulgaria, Germany, Russia.

The project comprizes about 2.2 millions of Euros (equivalent to 155 millions of Rubles or 2.4 millions of dollars), if only counting the investment of about 30 FTE's (Full Time Equivalents) on a regular basis of highly qualified scientists with present-day salary in e.g. Germany. About half of that is due to project management, and half is due to creation of the software. One half of the second, in turn, is due to the creation of the Standard Model library of ZFITTER: 7.5 FTE, 550,000 Euro. The same amount is due to the treatment of QED corrections in ZFITTER.
The estimates are very conservative. They are mentioned here in order to evidence the importance of a proper use of ZFITTER.

The excellence and uniqueness of the ZFITTER project are highly esteemed in the scientific community.
The ZFITTER team was honored for “Theoretical support of experiments at the Z resonance for precision tests of the Standard Model” with the First Scientific Award of JINR, Dubna on 19 January 2001. The referee was Academician Professor Lew B. Okun, ITEP, Moscow. Okun expected already then that the project will set the international standards for a long period, including the two-loop accuracy.
The honored ZFITTER authors:
Professor D. Bardin (JINR, Dubna), Professor M. Bilenky (then JINR, Dubna), Professor P. Christova (Univ. Shoumen, Bulgaria), Professor M. Jack (Florida A&M University, Tallahassee, Florida), Professor L. Kalinovskaya (JINR, Dubna), Professor A. Olshevsky (JINR, Dubna), Dr. S. Riemann (DESY, Zeuthen), Dr. T. Riemann (DESY, Zeuthen).

ZFITTER

ZFITTER is a Fortran package for the evaluation of quantum field theoretical corrections, as predicted in the Standard Model of elementary particles and variations of it, to a variety of observable quantities, notably those related to the Z-boson resonance peak studied by the LEP collaborations ALEPH, DELPHI, L3, OPAL at CERN and by the prestigeous LEP Electroweak Working Group.

ZFITTER is being used for an uncountable amount of experimental and phenomenological studies. The masses of the top quark and of the (assumed) Higgs boson were predicted with ZFITTER, from virtual quantum corrections to lower-energy observables, prior to their discoveries in 1995 and 2012.

The perhaps most important applications for the elementary particle physics community may be found at the webpage of the LEP electroweak working group
[5] LEPEWWG.
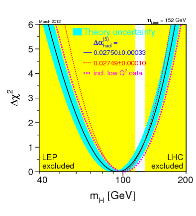
The prediction of the Higgs mass, assuming the Standard Model being valid, derived from radiative corrections to precision observables measured at LEP and other facilities, is visualized in the popular Blue Band Plot of the LEPEWWG [figure from [5]]:
See also
[6] lepewwg.web.cern.ch/LEPEWWG/plots/winter12/w12_blueband.pdf
The precision electroweak measurements yield a mass of the Standard-Model Higgs boson which is lower than about 152 GeV (one-sided 95 percent confidence level upper limit derived from ΔΧ² = 2.7 for the blue band, thus including both the experimental and the theoretical uncertainty).

The Blue Band Plot of the LEPEWWG is made with the ZFITTER package, in its latest version of 2008 with ZFITTER v. 6.43.
It is cited in the "Scientific Background on the Nobel Prize in Physics 2013":
[7] "The BEH-Mechanism, Interactions with Short Range Forces and Scalar Particles" on p.16.

The ZFITTER software package

Many versions of the ZFITTER package, from v.4.00 (June 1992) to v.6.43 (17 July 2008), are available on request. Older versions seem to be lost. See
[8] http://zfitter.education.
The following three ZFITTER packages are available from the "Computer Physics Communications Program Library":

DIZET (June 1989)
[9] CPC Catalogue identifier ABRL:
"DIZET - electroweak one loop corrections for e+e− → f+f− around the Z0 peak", [26] Comput. Phys. Commun. 59(1990)303, PHE 89-09 (June 1989)
http://cpc.cs.qub.ac.uk/summaries/ABRL_v1_0.html.
Authors of the Fortran package DIZET: Dubna-Zeuthen EWRC group (see also the list of authors in [10])
Authors of the program description: D.Yu. Bardin, P.Ch. Christova, M.S. Bilenky, T. Riemann, M. Sachwitz, H. Vogt

ZFITTER v6.21 (26 July 1999)
[10] CPC Catalogue identifier ADMJ:
"ZFITTER v6.21, a semi-analytical program for fermion pair production in e+e− annihilation", [30] Comput. Phys. Commun. 133(2001)229, hep-ph/9908433,
http://cpc.cs.qub.ac.uk/summaries/ADMJ_v1_0.html.
Authors of the Fortran package ZFITTER v6.21 (quote from the program description): D. Bardin, M. Bilenky (1987-1994), A. Chizhov (1987-1991), P. Christova (since 1997), O. Fedorenko (1990), M. Jack (1997 [-2000]), L. Kalinovskaya (since 1997), A. Olshevsky, S. Riemann, T. Riemann, M. Sachwitz (1987-1991), A. Sazonov (1987-1991), Yu. Sedykh (1989-1991), I. Sheer (1991-1992), L. Vertogradov (1990).
Extra list of authors for the Standard Model library of ZFITTER (quote from the program description): A. Akhundov (1985-1989), D. Bardin, M. Bilenky (1987-1994), P. Christova, L. Kalinovskaya (since 1997), S. Riemann, T. Riemann, M. Sachwitz (1987-1991), H. Vogt (1989).
The author of the subpackage BHANG v4.67 of ZFITTER v6.21 for Bhabha scattering is M. Bilenky (quote from the program description).
Authors of the program description: D. Bardin, M. Bilenky, P. Christova, M. Jack, L. Kalinovskaya, A. Olchevski, S. Riemann, T. Riemann.

ZFITTER v6.42 (18 May 2005)
[11] CPC Catalogue identifier ADMJ:
"ZFITTER: a semi-analytical program for fermion pair production in e+e− annihilation, from version 6.21 to version 6.42", [38] Comput. Phys. Commun. 174(2006)728, hep-ph/0507146,
http://cpc.cs.qub.ac.uk/summaries/ADMJ_v2_0.html.
Authors of the original Fortran package ZFITTER (quote from the program description): D. Bardin, P. Christova, M. Jack, L. Kalinovskaya, A. Olchevski, S. Riemann, T. Riemann. Further authors of ZFITTER v6.42: A. Akhundov, A. Arbuzov, plus the authors mentioned for ZFITTER v6.21 and DIZET and BHANG, see above.
Authors of the program description: A.B. Arbuzov, M. Awramik, M. Czakon, A. Freitas, M.W. Grünewald, K. Mönig, S. Riemann, T. Riemann.
Several authors of the 2005 program description were not considered as authors of the ZFITTER software: M. Awramik, M. Czakon, A. Freitas, M.W. Grünewald, K. Mönig; although A. Freitas and, to a lesser extent, M. Awramik, made notable contributions to the code version 6.42.
The authors of the program description instead constituted the ZFITTER support group. From 2005 till March 1, 2011, the date of beginning of the Gfitter incident (see below).
The main ZFITTER authors A. Akhundov, A. Arbuzov, D. Bardin, P. Christova, L. Kalinovskaya, A. Olchevski, S. Riemann, T. Riemann are until now the present responsibles of the project.
Quote from the program description in Comput. Phys. Commun. 174(2006)728, Introduction:
"With the present update of ZFITTER and its description, the maintenance of the program has been migrated to a group of volunteers, the ZFITTER support group. [...] The decision to do so was taken together with the original authors of the program. Since we did not want to change the list of authors in view of the long-standing history of the program, the idea to create a ZFITTER support group was considered to be an appropriate way to handle the maintenance situation requiring permanent care about the program. The ZFITTER support group is composed of authors of ZFITTER version 6.21, long-term users of the program, and colleagues who contributed substantially to its present state. We hope that a kernel of us will stay with ZFITTER as long as the code is needed by the community. A correct citation of the ZFITTER package will include reference [2], together with the present update."

DIZET v6.45 (December 2019)
DIZET_v6.45.tgz
Note added 10 November 2020:
The authors of DIZET v6.45 are: A. Arbuzov, J. Gluza, L. Kalinovskaya, S. Riemann, T. Riemann, V. Yermolchyk
The package was not yet officially released, but may downloaded here under the conditions which were also relevant for the ZFITTER package. Including respecting the CPC program library's copyright statement.
A description of the specifics of the version is under development. See also the README.txt in the package DIZET_v6.45.tgz.

ZFITTER References
- a selection

Articles and unpublished preprints

A comprehensive list may be found in [43]


[12] D. Bardin and N. Shumeiko,
"An Exact Calculation of the Lowest Order Electromagnetic Correction to the Elastic Scattering",
Nucl. Phys. B127 (1977) 242. doi:10.1016/0550-3213(77)90213-9.

[13] D. Bardin and O. Fedorenko,
"On high order effects for fermion elastic scattering processes in Weinberg-Salam theory. 1. Renormalization scheme",
Dubna preprint JINR-P2-11413 (1978), unpublished, scan: JINR-P2-11413.pdf.

[14] D. Bardin and O. Fedorenko,
"On high order effects for fermion elastic scattering processes in Weinberg-Salam theory. 2. Calculation of one loop diagrams",
Dubna preprint JINR-P2-11414 (1978), unpublished, scan: JINR-P2-11414.pdf.

[15] D. Bardin, P. Khristova, and O. Fedorenko,
"On the lowest order electroweak corrections to spin 1/2 fermion scattering. 1. The one loop diagrammar",
Nucl. Phys. B175 (1980) 435. doi:10.1016/0550-3213(80)90021-8.

[16] D.Y. Bardin, P.K. Khristova, and O. Fedorenko,
"On the lowest order electroweak corrections to spin 1/2 fermion scattering. 2. The one loop amplitudes",
Nucl. Phys. B197 (1982) 1. doi:10.1016/0550-3213(82)90152-3.

[17] G. Mann and T. Riemann,
"Effective flavor changing weak neutral current in the standard theory and Z boson decay",
Annalen Phys. 40 (1984) 334, Zeuthen preprint PHE 83-03, scan: KEK.

[18] A. Akhundov, D. Bardin, and T. Riemann,
"Hunting the hidden standard Higgs",
Phys. Lett. B166 (1986) 111. Dubna preprint JINR-E2-85-454, doi:10.1016/0370-2693(86)91166-4.

[19] A. Akhundov, D. Bardin, and T. Riemann,
"Electroweak One Loop Corrections to the Decay of the Neutral Vector Boson",
Nucl. Phys. B276 (1986) 1, doi:10.1016/0550-3213(86)90014-3.

[20] D. Bardin, S. Riemann, and T. Riemann,
"Electroweak one loop corrections to the decay of the charged vector boson",
Z. Phys. C32 (1986) 121-125, doi:10.1007/BF01441360.

[21] D. Bardin, M. Bilenky, O. Fedorenko, and T. Riemann,
"The electromagnetic α³ contributions to e+e− annihilation into fermions in the electroweak theory. Total cross-section σ and integrated asymmetry AFB",
1988, Dubna preprint JINR-E2-88-324, unpublished, scan: KEK.

[22] D.Yu. Bardin, A. Leike, T. Riemann, M. Sachwitz,
"Energy Dependent Width Effects in e+e− Annihilation Near the Z Boson Pole",
Phys. Lett. B206 (1988) 539-542. doi:10.1016/0370-2693(88)91625-5.

[23] D. Bardin, M. Bilenky, G. Mitselmakher, T. Riemann, and M. Sachwitz,
"A realistic approach to the standard Z peak",
Z. Phys. C44 (1989) 493, doi:10.1007/BF01415565 (PHE 88-03 ,KEK scanned paper)

[23a] D. Bardin and A. Chizhov,
"On the O(α_em α_s) corrections to electroweak observables", in: D. Bardin et al. (Eds.), "Proc. Int. Topical Seminar on Physics of e+e− Interactions at LEP energies", 15-16 Nov. 1988, JINR Dubna, USSR, JINR preprint E2-89-525, 1989, pp. 42-48 (scan).

[24] D.Yu. Bardin, M.S. Bilenky, A. Chizhov, A. Sazonov, Yu. Sedykh, T. Riemann, M. Sachwitz,
"The Convolution Integral for the Forward-Backward Asymmetry in e+e− Annihilation",
Phys. Lett. B229 (1989) 405

[25] M.S. Bilenky, A.A. Sazonov,
"QED corrections at Z0 pole with realistic kinematical cuts",
JINR-E2-89-792, submitted to: Phys. Lett.B

[26] D. Bardin, M. Bilenky, A. Chizhov, A. Sazonov, O. Fedorenko, T. Riemann, and M. Sachwitz,
"Analytic approach to the complete set of QED corrections to fermion pair production in e+e− annihilation",
Nucl. Phys. B351 (1991) 1-48 (PHE 89-19, March 1989). (E-print hep-ph/9801208)

[27] D.Y. Bardin, M.S. Bilenky, P. Christova, T. Riemann, M. Sachwitz, and H. Vogt,
"DIZET: A program package for the calculation of electroweak one loop corrections for the process e+e− → f+f− around the Z0 peak",
Comput. Phys. Commun. 59 (1990) 303-312. (PHE 89-09, June 1989), KEK scanned document:)

[27a] D. Bardin, W. Hollik, and T. Riemann,
"Bhabha scattering with higher order weak loop corrections", Z. Phys. C49 (1991) 485–490, doi:10.1007/BF01549702 (PHE-90-09, June 1990)

[28] D. Bardin, M. Bilenky, A. Sazonov, Y. Sedykh, T. Riemann, and M. Sachwitz,
"QED corrections with partial angular integration to fermion pair production in e+e− annihilation",
Phys. Lett. B255 (1991) 290-296 (PHE 90-17, October 1990) . (E-print hep-ph/9801209)

[29] D. Bardin, M. Bilenky, A. Chizhov, O. Fedorenko, S. Ganguli, A. Gurtu, M. Lokajicek, G. Mitselmakher, A. Olshevsky, J. Ridky, S. Riemann, T. Riemann, M. Sachwitz, A. Sazonov, A. Schaile, Y. Sedykh, I. Sheer, and L. Vertogradov,
"ZFITTER: An analytical program for fermion pair production in e+e− annihilation",
CERN-TH-6443-92, E-print arXiv:hep-ph/9412201, 1992.

[30] D. Bardin, M. Bilenky, P. Christova, M. Jack, L. Kalinovskaya, A. Olchevski, S. Riemann, and T. Riemann,
"ZFITTER v.6.21: A semi-analytical program for fermion pair production in e+e− annihilation",
Comput. Phys. Commun. 133 (2001) 229-395. (E-print hep-ph/9908433)

[31] D. Bardin, L. Kalinovskaya, S. Riemann, T. Riemann [may be: et al.],
"ZFITTER basics",
Subsection 4.4 of "Electroweak Working Group Report", authored by D. Bardin, W. Beenakker, M. Bilenky, W. Hollik, M. Martinez, G. Montagna, O. Nicrosini, V. Novikov, L. Okun, A. Olshevsky, G. Passarino, F. Piccinini, S. Riemann, T. Riemann, A. Rozanov, F. Teubert, M. Vysotsky, summarizing the results of the activities of the "Working Group on Precision Calculations for the Z Resonance" at CERN during 1994, arXiv:hep-ph/9709229; the report is a part of: D. Bardin, W. Hollik, G. Passarino (eds.), "Reports of the working group on precision calculations for the Z resonance", CERN 95-03 (31 March 1995).

[32] A. Arbuzov,
"Light pair corrections to electron positron annihilation at LEP/SLC",
hep-ph/9907500.

[33] A. Arbuzov,
"Nonsinglet splitting functions in QED",
Phys. Lett. B470 (1999) 252-258, doi:10.1016/S0370-2693(99)01290-3, [hep-ph/9908361].

[34] P. Christova, M. Jack, and T. Riemann,
"Hard photon emission in e+e− → f+f− with realistic cuts",
Phys. Lett. B456 (1999) 264-269, [hep-ph/9902408].

[35] D.Y. Bardin, L. Kalinovskaya, and G. Nanava,
"An electroweak library for the calculation of EWRC to e+e− → f+f− within the topfit project",
hep-ph/0012080.

[36] D.Y. Bardin, P. Christova, L. Kalinovskaya, and G. Passarino,
"Atomic parity violation and precision physics",
Eur. Phys. J. C22 (2001) 99-104, [hep-ph/0102233].

[37] M. Awramik, M. Czakon, A. Freitas, and G. Weiglein,
"Complete two-loop electroweak fermionic corrections to sin²θeff(lept) and indirect determination of the Higgs boson mass",
Phys. Rev. Lett. 93 (2004) 201805, [hep-ph/0407317].

[38] A. Arbuzov, M. Awramik, M. Czakon, A. Freitas, M. Grünewald, K. Mönig, S. Riemann, and T. Riemann,
"ZFITTER: A Semi-analytical program for fermion pair production in e+e− annihilation, from version 6.21 to version 6.42",
Comput.Phys.Commun. 174 (2006) 728-758. (E-print hep-ph/0507146)

Books

[39] D.Y. Bardin and G. Passarino,
"The standard model in the making: Precision study of the electroweak interactions",
monography, Oxford University Press, 1999. International series of monographs on physics, 104

Historical overviews

[40] G. Alekseev, D. Bardin, M. S. Bilenky, I. Boyko, G. Chelkov, L. Kalinovskaya, B. Khomenko, N. Khovansky, O. Kuznetsov, Z. Krumshtein, V. Malyshev, M. Nikolenko, A. Olshevsky, V. Pozdnyakov, N. Pukhaeva, A. Sadovsky, Y. Sedykh, A. Sisakian, O. Smirnova, L. Tkachev, I. Tyapkin, L. Vertogradov, A. Vodopianov, N. Zimin, A. Zinchenko, and A. Zinchenko,
"The DELPHI experiment at LEP",
Part. Nucl. Lett. 98 (2001) 5-22.

[41] D.Y. Bardin,
"Twelve years of precision calculations for LEP. What’s next?",
a historical overwiev, J. Phys. G29 (2003) 75-82, [hep-ph/0101295].

[42] T. Riemann,
"Zfitter - past, present, future",
a short historical overwiev, Riemann's talk at the conference Loops and Legs 2012 . The contribution to the proceedings of the conference
LL2012_036.pdf was retracted.

A comprehensive historical overwiev is:
[43] A. Akhundov, A. Arbuzov, S. Riemann and T. Riemann,
"The ZFITTER project",
Physics of Particles and Nuclei (May 2014), Volume 45, Issue 3, pp 529-549,
http://link.springer.com/article/10.1134/S1063779614030022, arXiv:1302.1395
The authors of the article got the Prize of the Joint Institute for Nuclear Research (JINR) for the best publication in 2014 in "Physics of Elementary Particles and Nuclei" (PEPAN).

Documents related to the Gfitter incident since its dicovery on March 1, 2011, may be found here: Gfitter-report.html


Latest news:


The representative of University of Hamburg makes the following summarizing statement in March 2016:

Nachdem das hiesige Ombudskollegium den von Herrn Riemann vorgetragenen Kasus in all seiner Komplexität einer genauen Prüfung unterzogen hat, kommt er zu der Bewertung, "dass die Gfitter-Gruppe um Prof. Dr. J. Haller Software der Zfitter plagiiert hat und sowohl in der Publikation wie auch in der Mail an Prof. Dr. H. Dosch versucht hat, dies zu verheimlichen. Dies stellt einen schwerwiegenden Verstoß sowohl gegen das Recht wie auch gegen die Regeln der Guten Wissenschaftlichen Praxis dar."

In English:

After a detailed audit by the local Ombudskollegium of the arguments put forward by Mr. Riemann concerning the casus, in all its complexity, he [the Ombudskollegium] comes to the vote, "That Gfitter group led by Prof. Dr. J. Haller plagiarized software of Zfitter and tried both in the publication as well as in the mail to Prof. Dr. H. Dosch to conceal this. This represents a serious violation both of the legal right and of the rules of good scientific practice."

The document, as well as the Report of the Ombudskollegium of UHH (dated in November 2015), is available on justified request.
The proposed opportunity of a healing contact of J. Haller and T. Riemann was not perceived by J. Haller.
We will give notice on the consequences of Gfitter's activities after the final statement by UHH.